Análise de tensões em tubulações industriais conforme ASME B31.3
Descrição do post.
10/22/20257 min read
Introdução
A análise de tensões em sistemas de tubulação é um dos pilares da engenharia de integridade mecânica.
Todo sistema de piping está sujeito a cargas internas e externas que produzem deformações, deslocamentos e tensões — e se essas tensões ultrapassarem os limites definidos pela norma, podem causar falhas estruturais, vazamentos ou colapsos catastróficos.
A ASME B31.3 estabelece critérios de projeto e verificação de tensões que garantem segurança, confiabilidade e durabilidade ao sistema.
Como diz o Piping Handbook:
“O cálculo de tensões em tubulações é essencial para equilibrar segurança e economia, assegurando que as linhas suportem pressões e movimentos sem falhar ou comprometer o processo.”
1. Objetivo da análise de tensões
A análise de tensões tem por objetivo:
Garantir a integridade do sistema, prevenindo falhas por sobrecarga ou fadiga;
Assegurar que os deslocamentos e forças transmitidas aos equipamentos estejam dentro dos limites permitidos;
Verificar o atendimento às tensões admissíveis definidas pela ASME B31.3;
Identificar a necessidade de suportes, molas e juntas de expansão;
Atender exigências de código, inspeção e documentação.
Em suma: o engenheiro deve provar, com base em cálculo, que o sistema “não quebra, não vaza e não sobrecarrega nada”.
2. Fundamentos da análise de tensões
O sistema de tubulação é um conjunto flexível e contínuo, e o cálculo considera:
Pressão interna → gera tensões circunferenciais e longitudinais;
Peso próprio → produz momentos fletores;
Dilatação térmica → cria tensões expansivas;
Forças de vento, sismo ou impacto → cargas ocasionais;
Reações de suporte → cargas restritivas que afetam o equilíbrio.
A tubulação é modelada como vigas elásticas contínuas, apoiadas e interligadas por componentes (flanges, válvulas, tês, curvas, juntas).
📘 Referência: Piping Handbook – Cap. A8: Stress Analysis and Flexibility.
3. Classificação das tensões segundo a ASME B31.3
A norma ASME B31.3 divide as tensões em três categorias principais:
Tipo Origem Símbolo Controle normativo Sustentadas (Sustained) Peso + pressão interna SL §302.3.5(d) Expansivas (Expansion) Variação térmica + restrições SE §319.4.4 Opcionais / Ocasionais Vento, sismo, golpe de aríete SO §302.3.6 (Occasional)
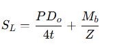
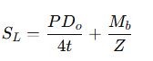
3.1. Tensões sustentadas (Sustained)
Incluem o peso do tubo + fluido + isolamento + pressão interna.
O cálculo considera:
onde:
P = pressão interna (MPa);
Do = diâmetro externo (mm);
t = espessura da parede (mm);
Mb = momento fletor total (N·mm);
Z = módulo de seção (mm³).
Critério:
em que Sh é a tensão admissível a temperatura de operação (tabela A-1 da ASME B31.3).
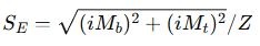
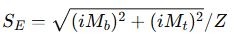
3.2. Tensões expansivas (Expansion)
Geradas pela dilatação térmica quando o sistema é restringido por ancoragens ou suportes fixos.
onde:
Mb, Mt: momentos fletores e torcionais;
i: fator de intensificação de flexão (stress intensification factor, SIF), conforme ASME B31J;
Z: módulo de seção.
Critério:
sendo SA e SB as tensões admissíveis nas temperaturas inicial e final.
3.3. Tensões ocasionais (Occasional)
Consideram cargas transitórias e raras, como:
vento;
sismo;
golpe de aríete (water hammer);
sobrepressões de emergência.
Critério:
📗 Referência: ASME B31.3 – Tabela 302.3.5.
4. Análise de flexibilidade
A flexibilidade é a capacidade do sistema de absorver movimentos térmicos e mecânicos sem gerar tensões excessivas.
A falta de flexibilidade é uma das causas mais comuns de falhas em tubulações industriais.
4.1. Fatores que influenciam a flexibilidade
Comprimento da linha e espaçamento entre suportes;
Existência de curvas e juntas de expansão;
Temperatura de operação e variação térmica;
Restrições impostas por equipamentos e estruturas;
Propriedades do material (E, α, limite elástico).
4.2. Exemplo de dilatação térmica
Para uma linha de 30 m em aço carbono:
Ou seja, a tubulação se expande 6,5 cm — e se não houver curvas ou juntas para absorver, essas tensões se transferem aos suportes e equipamentos.
📘 Ref.: Piping Handbook – Tabela A8.6 – Thermal Expansion of Piping Materials.
5. Fatores de intensificação de tensões (SIF)
Os SIFs (Stress Intensification Factors) ajustam o cálculo para geometrias com curvas, tês e conexões, que amplificam localmente as tensões.
Exemplo:
Componente SIF típico (flexão in-plane) Norma Curva 90° (r = 1,5D) 1,0 a 1,3 ASME B31J / B31.3 App. D Tê soldada 2,1 a 3,0 idem Redução excêntrica 1,0 idem Junta soldada com reforço 1,0 idem
Hoje, softwares como CAESAR II calculam automaticamente os SIFs com base na geometria e no diâmetro nominal (NPS).
6. Modelagem computacional
A análise moderna é realizada em softwares especializados (CAESAR II, AutoPIPE, Rohr2, Start-Prof).
6.1. Etapas da modelagem
Importação do modelo 3D (E3D, PDMS ou Plant 3D);
Definição das propriedades do material (ASME II-D);
Aplicação das condições de contorno (âncoras, guias, molas, juntas);
Inserção de cargas: peso, pressão, temperatura, vento, sismo;
Geração das combinações de carga conforme §302.3.5;
Análise dos deslocamentos, tensões e reações;
Validação dos limites normativos.
6.2. Saídas principais
Deslocamentos máximos (mm);
Tensões por elemento (MPa);
Reações em suportes e equipamentos;
Fatores de segurança e margens;
Relatórios para QA/QC e auditoria ASME.
7. Suportes e restrições
O comportamento do sistema depende fortemente dos suportes de tubulação, que definem onde a linha pode ou não se mover.
Tipo Função Símbolo Anchor (fixo) Impede movimento e rotação Δx = Δy = Δz = 0 Guide (guia) Permite movimento axial Δx livre Line stop Impede translação em uma direção — Spring hanger Compensa variação de peso térmico k variável Snubber Absorve vibrações e choques —
📘 Norma: MSS SP-58 / SP-69 – Pipe Hanger and Supports.
8. Limites de tensão admissível (ASME B31.3, Tabela A-1)
A norma define tensões admissíveis (Sh) baseadas na temperatura de projeto.
Exemplo:
Material Temp (°C) Sh (MPa) A106 Gr.B 38 138 A106 Gr.B 200 120 A312 304L 200 115 A312 316L 200 120
Esses valores são usados diretamente nas equações de §302.3.5(d) e §319.4.4 para comparação das tensões calculadas.
9. Critérios de aceitação
A tubulação é aceitável quando:
As tensões calculadas não excedem os limites definidos;
Os deslocamentos não causam interferências ou desalinhamentos;
As reações transmitidas não ultrapassam limites de equipamentos (bombas, vasos, trocadores).
9.1. Limites típicos de deslocamento
Tipo Limite (mm) Equipamentos estáticos (bocal rígido) 2 a 3 Bombas centrífugas 1 a 2 Trocadores de calor 3 a 5
📗 Ref.: Piping Handbook – Cap. A8, p. 218.
10. Casos especiais
10.1. Vibrações
Devem ser verificadas especialmente em linhas de vapor, gás ou bombeamento pulsante.
Causas comuns:
Frequência natural ≈ frequência de excitação;
Falta de suportes intermediários;
Reduções abruptas e válvulas parcialmente abertas.
Soluções: alterar rigidez, adicionar suportes ou amortecedores.
10.2. Juntas de expansão
Usadas quando o espaço não permite curvas de absorção térmica.
Podem ser metálicas, de fole ou deslizantes.
Devem sempre ser restritas por guias e ancoragens adequadas, conforme EJMA (Expansion Joint Manufacturers Association).
11. Documentação e relatório de análise
O relatório final de análise deve conter:
Modelo completo e número da linha;
Propriedades de material e códigos aplicáveis;
Condições de carga e combinações;
Tabelas de tensões e deslocamentos;
Diagramas de reação em suportes e bocais;
Conclusão de conformidade com ASME B31.3;
Assinaturas de responsável técnico e revisão QA/QC.
📘 Obrigatório em plantas nucleares ou de alta criticidade.
12. Exemplo prático – linha de vapor 6” 300#
Dados de entrada:
Material: ASTM A106 Gr. B
Pressão: 9 bar
Temperatura: 200 °C
Comprimento: 30 m
Suportes a cada 5 m
Curvas de 90° (r = 1,5D)
Resultados resumidos (CAESAR II):
Tipo de tensão Valor (MPa) Limite (MPa) Status Sustentada (SL) 82 120 ✅ OK Expansiva (SE) 89 150 ✅ OK Ocasionais (SO) 94 160 ✅ OK Deslocamento máx. 9 mm <12 mm ✅ OK
Conclusão: sistema conforme ASME B31.3 §319.4.4 — não requer juntas de expansão adicionais.
13. Erros comuns na análise de tensões
Ignorar deslocamentos térmicos de equipamentos;
Especificar suportes fixos demais (sistema rígido);
Não considerar peso do isolamento e revestimento;
Usar fatores de intensificação incorretos;
Desprezar cargas ocasionais (vento, sismo);
Não validar reações nos bocais.
Cada erro desses pode gerar falhas de vedação, trincas em soldas ou danos em equipamentos rotativos.
14. Importância do engenheiro de análise
O analista de tensões é o profissional que traduz o comportamento físico da linha em números confiáveis.
Sua função é prever o que o campo só descobriria após a falha — e evitar que isso aconteça.
O domínio da ASME B31.3 e do Piping Handbook permite ao engenheiro:
Otimizar suportes e reduzir custos;
Garantir integridade estrutural e segurança;
Fornecer documentação rastreável e validada por QA.
15. Conclusão
A análise de tensões é a ponte entre o cálculo teórico e a realidade física da planta industrial.
Ela assegura que a tubulação seja flexível o suficiente para se mover, mas resistente o suficiente para suportar o serviço.
Dominar a ASME B31.3 significa compreender os limites entre segurança, flexibilidade e economia, e aplicar esse conhecimento de forma sistemática e documentada.
O engenheiro que entende tensões entende o comportamento do sistema — e isso é o que o transforma em referência em integridade de piping.
🚀 Domine a análise de tensões conforme ASME B31.3
Quer aprender a calcular, modelar e validar sistemas de tubulação com segurança e precisão?
📘 Acesse meus livros técnicos e cursos de análise de tensões na Hotmart e aprenda passo a passo a aplicar a ASME B31.3 com exemplos reais em CAESAR II e AutoPIPE.
Torne-se o engenheiro que transforma linhas em sistemas seguros e confiáveis.
Engenharia
Inovação e competência em projetos de engenharia.
📞 Entre em contato e descubra como podemos agregar valor ao seu projeto!
Serviços
Parceria
anderson@rodriguesulloaengenharia.com.br
+55-11-972969688
© 2025. All rights reserved.
